放射線技術×データサイエンス

放射線技術×データサイエンス

診療放射線技師がPythonとRとImageJを使って色々します

2021-02-01から1ヶ月間の記事一覧

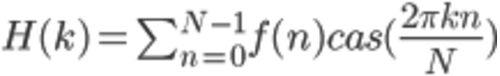
ImageJのフーリエ変換を雑にマクロで紐解いてみる

私は画像のフーリエ変換をするときにImageJを使用することがあります.いちいちコードをかかずとも,マウスを数回クリックするだけで複雑な計算をしてくれるImageJはすばらしいソフトウェアだと思います.プログラムのコードを書くことは好きですが,画像一…